letter from "patient advocate"
|
Kaiser Permanente San
Diego Medical Center
Urology Score Card
U.S. News Hospital
Score
16.0/100
Survival
Worse than expected
Patient safety
Low
Patient volume
Medium
Level of nurse staffing
Lowest
Nurse Magnet hospital
No
Number of important
technologies available in this
specialty
Low
[Maura Larkins comment: Was Kaiser
marked down for reporting that some
x-rays are saved only on thermal
paper, and medical reports are
written relying on thermal paper
images? See story above.]
Kaiser arbitration and
dispute resolution
Kaiser lawsuits
US News and World Report
hospital comparisons: see
bottom of this page for charts.
Scripps La Jolla
Hospitals and
Clinics
Urology Score Card
U.S. News Hospital
Score
24.7/100
Survival
As expected
Patient safety
Low
Technologies
Number of important
technologies
available in this
specialty
Highest
Johns Hopkins
Hospital
Urology Score Card
Hospital Ranking #1
U.S. News Hospital Score
100.0/100
Survival
Much better than
expected
Patient safety
Moderate (was lowest in
2010-2011)
Patient volume
Highest
Level of nurse staffing
Highest
Nurse Magnet hospital
Yes
Technologies
Number of important
technologies available in this
specialty
Highest
Scripps
Mercy
Hospital
Urology Score Card
U.S. News Hospital
Score
29.2/100
Survival
Much better
than
expected
Patient safety
Medium
Technologies
Number of important
technologies
available in this
specialty
Highest
UCSD
Urology Score Card
U.S. News
Hospital Score
32.4/100
Survival
Much better
than
expected
Patient safety
Lowest
Technologies
Number of important
technologies
available in this
specialty
High
Sharp Grossmont
Hospital
Urology Score Card
U.S. News Hospital
Score
20.7/100
Survival
As expected
Patient safety
Low
Technologies
Number of important
technologies
available in this
specialty
Highest
Sharp Memorial
Hospital
Urology Score Card
U.S. News Hospital
Score
25.0/100
Survival
As expected
Patient safety
Lowest
Technologies
Number of important
technologies
available in this
specialty
Highest
The brand new Garfield Specialty Center in San Diego in 2011 revealed some
startling anachronisms. Photo: Dr. Paul Bernstein, Kaiser area medical director;
Jerry Sanders, Mayor of San Diego; Mary Ann Barnes, Kaiser senior vice
president and executive director; Jim [James G.] Malone, Kaiser medical group
administrator, on June 8, 2011
UCLA
Urology Score Card
Hospital Ranking #4
U.S. News Hospital Score
79.8/100
[79.0/100 in 2010-2011]
Survival
Much better than
expected
Patient safety
Medium
Patient volume
Highest
Level of nurse staffing
Highest
Nurse Magnet hospital
Yes
Technologies
Number of important
technologies available in this
specialty
Highest
Urology score card
Kaiser Permanente
San Diego Medical
Center
2010-2011 (see further
updates at bottom of
this page)
U.S. News Hospital Score
16.0/100
Survival
Worse than
expected
Patient safety--Low
Patient volume--Medium
Level of nurse staffing
--Lowest
Nurse Magnet hospital--No
Number of important
technologies
available in this
specialty--Low
[See discussion below
of x-rays preserved only
on thermal paper rather
than being digitized in
2011.]
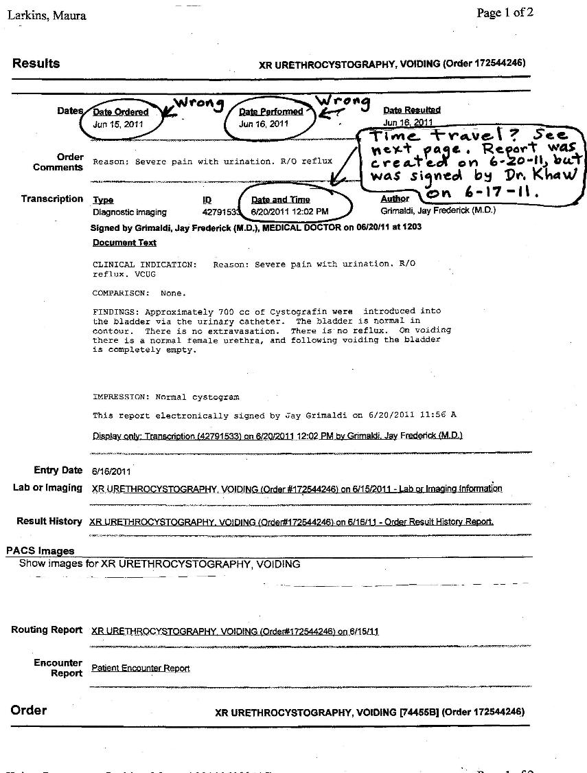
Two very odd--and oddly different--printed reports
Perhaps a clue as to why I was not given the CD of the VUCG can be found by looking
at the following written report(s):
VUCG report #2:
Another version of the report above; this one reveals a different referring doctor
and an amazing feat of time travel by Kaiser's Dr. Khaw: he co-signed a report
three days before it was written!
VCUG report #1--wrong doctor and wrong date:
Page 2 Dr. Huathin Khaw co-signed the report three days before it was written by Dr. Grimaldi. Later I found out
that the true report had been written by a completely different doctor and filed on June 16, 2011.
Page 1 of 2
What is Kaiser's
stated position on
falsified medical
records?
Kaiser Permanente
Compliance
Principles of
Responsibility
Our Business Practices
Business Records and
Communications
Maintaining complete and
accurate records is
essential if we are to meet
our mission to provide
quality health care. We must
never create or change a
document for the purpose of
misleading anyone, and no
relevant information should
ever intentionally be left
out, hidden, falsified, or
covered up.
Complete and Accurate
Records
This standard applies to all
business records and
communications including member,
patient, or facility records and claims
records that pertain to internal
business data; financial and
statistical information; timesheets;
expense reports; and personnel
files. Such business records and
communications are used to make
critical decisions within Kaiser
Permanente. They may also be
reported outside Kaiser Permanente
to regulators, accrediting
organizations, payers, customers,
and the public. We must comply
with federal and state regulations
when preparing and maintaining
these records and
communications. [Maura Larkins
comment: actually, Kaiser knows it
can get away with disobeyed laws
regarding records.]
We must make sure that all
information we give to Kaiser
Permanente’s finance personnel,
accountants, reimbursement staff,
internal and external auditors, and
Compliance staff is accurate and
complete and fully discloses relevant
accounting, financial, and business
practices. Anyone who provides
data or information that they know
or suspect is false is subject to
discipline, up to and including
termination. [Maura Larkins
comment: this doesn't seem to
apply to Kaiser doctors.]
We must cooperate fully during
internal and external audits.
If you become aware of any
weakness in internal controls,
structures, or procedures for
recording and reporting medical
information or financial and
statistical data, you must report the
matter to your supervisor, your
Human Resources representative,
your Compliance Officer, your
Controller, or the Compliance Hotline
1-888-774-9100. [Maura Larkins
comment: actually, you should be
aware you might suffer retaliation
from Kaiser if you do this.]
No physician or employee
should ever be pressured to
make false or misleading
entries, statements, or
alterations in any business
record.
Clinical Data, Reports, and
Outcomes
Medical records and other clinical
documents are very important to
ensure safe patient care. We must
document clinical events in a clear
and precise manner to enable others
to understand the documents and to
help facilitate accurate diagnostic
and service coding, billing, cost
reporting, planning, and research.
Consistent with our dedication to the
well-being of our patients and our
role as an industry leader in
advancing health care innovation, we
have an ongoing commitment to
ensure the quality of all our services,
including the use of health care
products that are marketed as well
as those under development. Each
of us has a responsibility to
immediately notify our supervisor,
Human Resources representative,
Risk Manager, Compliance Officer,
or the Compliance Hotline 1-888-
774-9100 if we become aware of a
serious or unanticipated reaction to a
health care product. A report should
be made even if there is uncertainty
of a cause and effect relationship
between the product and the event.
[contd. below]
[contd. from above]
Document Retention and Disposal
The retention and disposal of all
organizational records (business,
financial, and medical) must be done in
accordance with:
*Applicable federal, state, and local
laws and regulations.
*Licensing and accreditation
requirements.
*The National Business Record
Retention and Disposal policy or the
applicable Permanente Medical Group
policy.
[Maura Larkins comment: Kaiser
Permanente in San Diego seems to
have major problems with the first
two requirements above for
Document Retention and Disposal.
But perhaps the "applicable
Permanente Medical Group policy" is
to alter records and/or make them
disappear, so San Diego might be in
compliance with that.
Member Services seems to be in full
support of all these shenanigans. I
have previously spoken to Nathaniel
Durrell, the director of Member
Services in San Diego. At that time
he told me his name was Raymond
Daniel David Durrell--weird, huh? I
got the impression that he is
anything but a patient advocate. I
asked to speak to him about this
matter, but he was not available.]
Records include information in any format,
including but not limited to paper, electronic,
audio, or video.
Documents requested for any government
investigation or legal proceeding or
documents relevant to an expected
government investigation or legal proceeding
must not be altered or destroyed in any
manner.
US News and World Report hospital rankings and score cards
Scores downloaded July 5, 2011
San Diego hospitals 2010-2011 in first row below
How Kaiser
investigates when
patients present with
unusual symptoms
If a case doesn't fit within Kaiser's
treatment guidelines, Kaiser likes to
slap a sloppy diagnosis on it, and
declare it unimportant. Doctors are
rewarded for this behavior. But some
agencies will demand a resignation of
an employee who covers up issues he
is legally bound to investigate:
Stain From Tabloids Rubs Off on a
Cozy Scotland Yard
By DON VAN NATTA Jr.
Published: July 16, 2011
For nearly four years they lay piled in a
Scotland Yard evidence room, six
overstuffed plastic bags gathering dust and
little else.
Inside was a treasure-trove of evidence:
11,000 pages of handwritten notes listing
nearly 4,000 celebrities, politicians, sports
stars, police officials and crime victims
whose phones may have been hacked by
The News of the World, a now defunct
British tabloid newspaper.
Yet from August 2006, when the items were
seized, until the autumn of 2010, no one at
the Metropolitan Police Service, commonly
referred to as Scotland Yard, bothered to
sort through all the material and catalog
every page, said former and current senior
police officials.
During that same time, senior Scotland
Yard officials assured Parliament, judges,
lawyers, potential hacking victims, the news
media and the public that there was no
evidence of widespread hacking by the
tabloid. They steadfastly maintained that
their original inquiry, which led to the
conviction of one reporter and one private
investigator, had put an end to what they
called an isolated incident...
Kaiser Permanente
San Diego Medical
Center
Urology Score Card
U.S. News Hospital
Score
23.7/100
Survival
As expected
[Congratulations, Kaiser
Urology! This is a big
improvement from last
year, when survival was
worse than
expected (see above
for 2010-2011 results.)]
Success in keeping
patients safe
Moderate
Patient volume
Highest
Nurse staffing
Lowest
Nurse Magnet hospital
No
Advanced
technologies
Low [Perhaps this is low
because Kaiser reports
that some x-rays are saved
only on thermal paper, and
medical reports are written
relying on thermal paper
images? See story above.]
Scripps
Mercy
Urology Score
Card
U.S. News Hospital
Score
36.4/100
Survival
Much better
than
expected
Success in
keeping
patients safe
Moderate
Patient volume
Highest
Nurse staffing
Highest
Nurse Magnet
hospital
No
Advanced
technologies
Highest
UC San Diego
Medical
Center
Urology Score Card
U.S. News Hospital
Score
38.8/100
Survival
Much better
than
expected
Success in keeping
patients safe
Moderate
Patient volume
Highest
Nurse staffing
High
Nurse Magnet
hospital
No
Advanced
technologies
Highest
Sharp Grossmont
Hospital
Urology Score Card
U.S. News Hospital
Score
27.1/100
Survival
Worse than
expected
[Last year this score
was "as expected."
What happened,
Grossmont?]
Success in keeping
patients safe
Moderate
Patient volume
High
Nurse staffing
Highest
Nurse Magnet hospital
Yes
Advanced
technologies
Highest
It appears that US News and World Report changed its method of calculating scores. All of the scores below are about 7 points higher than the
previous year's scores.

The future at Kaiser should be interesting
by Maura Larkins
According to Kaiser's own documentation (see response to patient grievance below),
a large series of x-rays taken at the Garfield Specialty Center ONE week
after the celebration shown in the above photo was never recorded, either
digitally or on film, except for a few images saved on thermal paper! Kaiser says
that a medical report was written based only on five thermal paper images, rather
than being written by the urologist who watched all the X-ray images as they were
produced! No X-ray film was used to record images. It would seem that Kaiser has
transported x-ray machines that other institutions began to phase out in the early
1990s into the brand new center and is using the outdated machines on patients.
This is the explanation suggested by Assistant Area Medical Director Steven
Goldberg. The truth? Kaiser internal emails reveal that Kaiser wanted to prove the
patient wrong. When the patient turned out to be right, Kaiser didn't want to admit its
mistake, so it covered up the X-rays. Unfortunately, the folks at Partners in Health,
Kaiser's e-newsletter, don't seem to have been told the thermal paper story. They
say something very differerent in their October 2011 newsletter: "All our X-rays and
imaging tests (at Garfield Specialty Center) are digital and become part of your
electronic health record..." (see below)

Kaiser letter
August 3, 2011
Paragraph 3:
"Per our records I
understand that you spoke
with D. R. in the X-ray
Department on July 11,
2011 where it was
explained that the urethra
cystogram could not be
downloaded to a CD due to
it was not digitized.
Urethra cystogram was not
saved electronically and
we can provide medical
record on thermal paper.
Kaiser employee D. R. told me
that only five images were
saved from my VUCG--and she
sent them to me (see the 5
images below). Two of them
are "scout" x-rays that were
not even focused correctly. The
quality of the images was very
poor.
Then three weeks later Dr. S
gave me five images from the
same VUCG--but three of the
images are different!
So how many images are really
available? And why did the
technician tell me the results
would be digitized? In fact,
why did D. R. tell me on June
30, 2011 that the results were
available on a CD for $10?

I was surprised that Kaiser actually put in writing its claim that a series of x-rays
taken on June 15, 2011 was not saved on anything other than thermal paper.
See the full story with documentation here. Kaiser gave me two reports of my x-ray exam. Both of the
reports show an incorrect date for the procedure. Each report shows a different authorizing doctor.
And the report was co-signed by Dr. K three days before it was written by Dr. G! Time travel?
Kaiser turns a profit by
denying or delaying tests and
treatment. But how far will
Kaiser go in an attempt to
prove that a patient has no
problem that requires care?
Who concocted the
missing x-ray/thermal
paper scam?
All the evidence points to
Urology Dept. Administrator
Yvonne Hanzen, but she clearly
has been working with the
support of David Horton and
April Moon, Service Area
Assistant Administrators
who rank above her.
Garfield Specialty Center
5893 Copley Dr
San Diego, CA 92111
(at Hickman Field Dr)
San Diego, CA 92111
Neighborhood: Kearny Mesa
(619) 528-5000
See map
Can you spot Kaiser Permanente's false statement?
Which is Kaiser Permanente guilty of? False advertising in statement "a" or concealing X-rays and falsifying
medical reports in statement "b"?
Answer:
Statement "a" is true. All X-rays and imaging tests at Garfield Specialty Center are digital.
(But Kaiser might decide to keep those images out of your medical records.)
Statement "b" is
completely false.
b) "...The urethracystogram could not be downloaded to a CD due to it was not digitized. Urethra cystogram was not saved electronically and we can provide medical record on thermal paper."
|
a) "All our X-rays and imaging tests are digital and become part of your electronic health record..."
|
My primary care doctor, Dr. Jae Kyo Lee, said that I was "paranoid" to think there were any
missing X-rays, or that my reports had been tampered with.
UPDATE: Dr. Lee's effort to defend fellow doctors by undermining his patient seems
to have been required by his contract. However, Kaiser tacitly admitted that my
complaint was justified: between July 12 and September 19, 2011, Kaiser eliminated
the reports below from my records, and produced more X-rays. My doctor refuses to
discuss the issue with me. I guess he just can't admit he was wrong.
Comparing different Kaiser Permanente locations
Kaiser Foundation
Hospital-Sunset
(Los Angeles)
Urology Score Card
U.S. News Hospital
Score 32.7/100
Survival
Better than
expected
Success in keeping patients
safe
Superior
Patient volume
Medium
Nurse staffing
Highest
Nurse Magnet hospital
No
Advanced technologies
Highest
Kaiser Permanente
San Diego
Medical Center
Urology Score Card
U.S. News Hospital
Score 23.7/100
Survival
As expected
[This is an improvement from last
year, when survival was worse than
expected (see above for 2010-2011
results.)]
Success in keeping patients safe
Moderate
Patient volume
Highest
Nurse staffing
Lowest
Nurse Magnet hospital
No
Advanced technologies
Low [Perhaps this is low because
Kaiser reports that some x-rays are
saved only on thermal paper, and
medical reports are written relying on
thermal paper images? See story
above.]
Here is the document with the false statement "b."
This document flatly contradicts the newsletter above.
"Per our records I understand that you spoke with D. R. in the X-ray Department on July 11, 2011 where it was explained that the urethra cystogram could not be downloaded to a CD due to it was not digitized. Urethra cystogram was not saved electronically and we can provide medical record on thermal paper.
(See paragraph 3 below.)
|
"All our X-rays and imaging tests are digital and become part of your electronic health record..."
|
Did Dr. Jay Grimaldi, who is not a urologist, write this report based only, as Kaiser claims, on the five "thermal paper" images below or did he see the complete set of digitized images? Or was this report written by someone else? Update: It was written by someone else--Dr. Needel, who perhaps did not want his name attached to a false report.
|
Here is the document with statement "a":
Kaiser Urology in San Diego
phone number:
1-888-694-7857
Kaiser Permanente Sacramento
[I wonder which Sacramento hospital this patient went to!]
Nov. 16, 2011
The Kaiser urologist told me I had testicle cancer, my testicle had to be removed. After removal they found no cancer and a perfectly healthy
testicle. For the next 6 months, the pain from surgery got progressively worse. The urologist did not know why I was in so much pain.
Twelve months after surgery, the chief of the surgery department operated again to find the trouble, intentionally cut nerves to that area so I
wouldn't feel the pain. Eleven months after that operation and the pain is back. I am no longer a Kaiser member, so they refuse to see me.
I had none of this pain prior to their operations.
anthony of sacramento, CA
October 12, 2011
For over a year, Kaiser primary care physicians refused to order CT scans for multiple systems.
They stated that, at my age, the tests are not given.
I then went to an out of network physician, who ordered the scan, and advance Stage III cancer was discovered.
Kaiser doctors then sought to deny a nationally recognized treatment. The urologist and the surgeon advised doing nothing, and to
allow the cancer to spread. I insisted on surgical removal of the cancerous right kidney and lymph node, which was eventually done.
Then, the standard post surgery treatment was denied. Instead of ordering blood tests and CT scans, the oncologist refused to order
the universally recognized post-nephrectomy treatments. It consists of blood tests and CT scans.
Dr. ** said that nothing would be done until signs of the spreading cancer appears. By that time the cancer drugs would not be effective,
and the cancer has spread throughout the body, along with the pain that accompanies that condition. By that time, it will be too late.
It is bad enough to have preventable advance stage III plus kidney cancer, requiring surgery and post-surgery treatment, and then to be
told by your plan urologist to do nothing and letting the cancer metastasize throughout your body, with the pain and early death to follow.
It is bad enough to have preventable advance Stage III kidney cancer and have the plan's surgeon repeatedly urging the patient to do
nothing, letting the cancer spread. It is bad enough when the surgeon delays surgery for eight weeks, allowing the cancer to spread
from a possible curable stage III to an incurable stage IV when the cancer has spread beyond the kidney lymph node. It is bad enough
when the post-surgery oncology refused to conduct the standard periodic CT scans and blood test, using the excuse that anyone with
only one kidney is at too great a risk from the contrast media, and to instead wait until the spreading cancer produces strong enough
symptoms.
The initial refusal to conduct medically recognized CT scan enabled the probable early curable stage I or II of the kidney cancer to go
into the incurable stage III plus condition. Then, when surgery was finally done, the standard tests and treatment are being denied.
Rodney of Walnut Creek, CA
Kaiser Permanente
South Sacramento
Medical Center
6600 Bruceville Road
Sacramento, CA 95823-4671
(916) 688–2430
Urology Score Card
U.S. News Hospital Score
24.6/100
Survival
As expected
Whether patients would recommend
the hospital to friends and family:
Definitely
68%
State Average
68%
National Average
69%
Probably or definitely not
6%
Success in keeping patients safe
Moderate
Patient volume
Medium
Nurse staffing
Highest
Nurse Magnet hospital
No
Advanced technologies
Low
Kaiser Permanente
Sacramento Medical
Center
2025 Morse Avenue
Sacramento, CA 95825-2115
(916) 973–5000
Urology Score Card
U.S. News Hospital Score
15.6/100
Survival
Much worse than
expected
Whether patients would
recommend the hospital to friends
and family:
Definitely
71%
State Average
68%
National Average
69%
Probably or definitely not
5%
Success in keeping patients
safe
Limited
Patient volume
Highest
Nurse staffing
Highest
Nurse Magnet hospital
No
Advanced technologies
Low
Note two different Sacramento locations. Also notice that patient recommendations are unreliable. Sacramento patients
prefer the hospital with much worse survival rates!
Tri-City
Medical Center
Urology Score Card
U.S. News Hospital
Score
17.1/100
Survival
Much worse
than
expected
Success in keeping
patients safe
Limited
Patient volume
Medium
Nurse staffing
Average
Nurse Magnet
hospital
No
Advanced
technologies
Medium
Scripps La Jolla
Hospitals and
Clinics
Urology Score Card
U.S. News Hospital
Score
33.8/100
Survival
Better than
expected
Success in keeping
patients safe
Moderate
Patient volume
High
Nurse staffing
Highest
Nurse Magnet
hospital
Yes
Advanced
technologies
Highest
UCSF Medical
Center 2011-2012
Urology Score Card
Hospital Ranking #6
U.S. News Hospital Score
69.9/100
Survival
Much better than
expected
Success in keeping patients
safe
Moderate
Patient volume
Highest
Nurse staffing
Highest
Nurse Magnet hospital
No
Advanced technologies
Highest
Top US Hospitals in urology 2011-2012
Kaiser San Diego:
Missing radiology
reports in urology
department; some
patients' x-rays are
saved only on
thermal paper, it
says here.
San Diego Education Report
|
San Diego
Education Report
UPDATE 2011-2012:
Kaiser Permanente
San Diego Medical
Center
Urology Score Card
[Hospital is not ranked]
U.S. News Hospital Score
41.5/100
Reputation with specialists
None
Survival
Worse than
expected
Success in keeping patients
safe
(preventing hospital
infections)
Superior
Patient volume
Highest
Nurse staffing
Average
Nurse Magnet hospital
No
Advanced technologies
Highest
[Maura Larkins comment: I
believe this indicates that
Kaiser made false
statements above, claiming
that X-rays were saved
only on thermal paper.]
UPDATE 2012-2013
UC San Diego
Medical Center
Urology Score Card
Hospital Ranking
#37
U.S. News Hospital
Score
66.2/100
Reputation with
specialists
Modest
Survival
Much better
than
expected
Success in keeping
patients safe
Limited
Patient volume
Highest
Nurse staffing
High
Nurse Magnet hospital
Yes
Advanced
technologies
Highest
Sharp Grossmont
Hospital
Urology Score Card
Hospital Ranking NA
U.S. News Hospital
Score
46.0/100
Reputation with
specialists
None
Survival
Much worse
than expected
Success in keeping
patients safe
Moderate
Patient volume
Highest
Nurse staffing
Highest
Nurse Magnet hospital
Yes
Advanced
technologies
Highest
Tri-City Medical
Center
Urology Score Card
Hospital Ranking NA
U.S. News Hospital
Score 25.8/100
Reputation with specialists
None
Survival
Much worse
than expected
Success in keeping
patients safe
Moderate
Patient volume
High
Nurse staffing
Average
Nurse Magnet hospital
No
Advanced technologies
Medium
Scripps
Mercy
Hospital
Urology Score Card
Hospital Ranking
NA
U.S. News Hospital
Score
55.6/100
Reputation with
specialists
None
Survival
Better than
expected
Success in keeping
patients safe
Moderate
Patient volume
Highest
Nurse staffing
Highest
Nurse Magnet
hospital
No
Advanced
technologies
Highest
Scripps La
Jolla Hospitals
and Clinics
Urology Score Card
Hospital Ranking NA
U.S. News Hospital
Score
56.3/100
Reputation with
specialists
None
Survival
Better than
expected
Success in keeping
patients safe
Limited
Patient volume
Highest
Nurse staffing
Highest
Nurse Magnet hospital
Yes
Advanced
technologies
Highest
Tri-City Medical
Center
Overall Score in This
Specialty
20.5 / 100
Reputation with specialists
None
Survival
Worse than
expected
Success in keeping
patients safe
Limited
Urology patient volume
High
Nurse staffing
Average
Nurse Magnet recognition
Score: x
Advanced technologies
Diagnostic radioisotope
services, image-guided
radiation therapy, PET/CT
scanner, robotic surgery
and stereotactic
radiosurgery.
Medium
UPDATE 2013-2014
Kaiser Permanente
San Diego Medical
Center
Urology--
Overall Score in This
Specialty
41.2 / 100
Reputation with specialists
% of responding specialists
surveyed in 2011, 2012 and
2013 who named hospital as
among best for difficult cases.
Modest 25
Score: 1.2%
Modest=0.1%-2.9%
Survival
Higher numbers mean fewer
deaths than expected 30 days
after admission, after adjusting
for severity and other risks.
As expected 50
Score: 5
As expected=5-6
Success in keeping patients
safe
Ability to prevent six types of
accidents and medical errors.
Limited (5)
Score: 1
Limited=1 out of 3
Show more
Urology patient volume
Number of Medicare inpatients
who had specified disorders or
specified procedures in 2009,
2010 and 2011.
Highest
100
459 discharges
Highest=300 or above
Nurse staffing
Indicates relative balance of
nurses and patients
hospitalwide; higher numbers
mean more nurses.
High
75
Score: 1.9
High=1.7-1.9
Nurse Magnet recognition
Certified by American Nurses
Credentialing Center for high
nursing standards.
Score: x
Advanced technologies
Diagnostic radioisotope
services, image-guided
radiation therapy, PET/CT
scanner, robotic surgery and
stereotactic radiosurgery.
Highest
100
Score: 5
Highest=5 out of 5
UC San Diego
Medical Center
Rankings
Urology Rank in This
Specialty
#22
Overall Score in This
Specialty
67.8 / 100
Reputation with specialists
% of responding specialists
surveyed in 2011, 2012 and
2013 who named hospital as
among best for difficult cases.
Modest 25
Score: 2.5%
Modest=0.1%-2.9%
Survival
Higher numbers mean fewer
deaths than expected 30 days after
admission, after adjusting for
severity and other risks.
Much better
than expected
100
Score: 10
Much better than expected=9-
10
Success in keeping patients
safe
Ability to prevent six types of
accidents and medical errors.
Moderate
50
Score: 2
Moderate=2 out of 3
Show more
Urology patient volume
Number of Medicare inpatients
who had specified disorders
or specified procedures in
2009, 2010 and 2011.
Highest
100
434 discharges
Highest=300 or above
Nurse staffing
Indicates relative balance of
nurses and patients
hospitalwide; higher numbers
mean more nurses.
Highest
100
Score: 2.0
Highest=2.0 or above
Nurse Magnet recognition
Certified by American Nurses
Credentialing Center for high
nursing standards.
Score: √
Advanced technologies
Diagnostic radioisotope
services, image-guided
radiation therapy, PET/CT
scanner, robotic surgery and
stereotactic radiosurgery.
Highest
100
Score: 5
Highest=5 out of 5
Scripps Mercy
Hospital
Rankings
Urology
Overall Score in This
Specialty
51.8 / 100
Reputation with
specialists
% of responding specialists
surveyed in 2011, 2012
and 2013 who named
hospital as among best for
difficult cases.
Modest 25
Score: 1.1%
Modest=0.1%-2.9%
Survival
Higher numbers mean
fewer deaths than
expected 30 days after
admission, after adjusting
for severity and other risks.
Better than
expected 75
Score: 7
Better than expected=7-8
Success in keeping
patients safe
Ability to prevent six types
of accidents and medical
errors.
Moderate
50
Score: 2
Moderate=2 out of 3
Show more
Urology patient volume
Number of Medicare
inpatients who had
specified disorders or
specified procedures in
2009, 2010 and 2011.
Highest
100
410 discharges
Highest=300 or above
Nurse staffing
Indicates relative balance
of nurses and patients
hospitalwide; higher
numbers mean more
nurses.
Highest
100
Score: 2.2
Highest=2.0 or above
Nurse Magnet recognition
Certified by American
Nurses Credentialing
Center for high nursing
standards.
Score: x
Advanced technologies
Diagnostic radioisotope
services, image-guided
radiation therapy, PET/CT
scanner, robotic surgery
and stereotactic
radiosurgery.
Highest 100
Score: 5
Highest=5 out of 5
UCLA Medical Center
Rankings
Urology
Rank in This Specialty
#4
Overall Score in This
Specialty
80.9 / 100
Reputation with specialists
% of responding specialists
surveyed in 2011, 2012 and
2013 who named hospital as
among best for difficult cases.
Strong 75
Score: 20.2%
Strong=15.0%-49.9%
Survival
Higher numbers mean fewer
deaths than expected 30 days after
admission, after adjusting for
severity and other risks.
Better than expected
75
Score: 8
Better than expected=7-8
Success in keeping patients
safe
Ability to prevent six types of
accidents and medical errors.
Limited 5
Score: 1
Limited=1 out of 3
Show more
Urology patient volume
Number of Medicare inpatients
who had specified disorders or
specified procedures in 2009,
2010 and 2011.
Highest
100
1,085 discharges
Highest=300 or above
Nurse staffing
Indicates relative balance of
nurses and patients
hospitalwide; higher numbers
mean more nurses.
Highest
100
Score: 2.9
Highest=2.0 or above
Nurse Magnet recognition
Certified by American Nurses
Credentialing Center for high
nursing standards.
Score: √
Advanced technologies
Diagnostic radioisotope
services, image-guided
radiation therapy, PET/CT
scanner, robotic surgery and
stereotactic radiosurgery.
Highest
100
Score: 5
Highest=5 out of 5
The "reputation with specialists" seems to have become a measure of political, rather than medical, success.
Note that UCLA and Kaiser have poorer survival rates than UCSD, yet UCLA got three times as many votes from
specialists as UCSD, and Kaiser, with a death rate double that of UCSD, has an equally good reputation!
Comparisons of urology departments
in California hospitals (charts below)
and my bizarre experience with "missing" X-rays at Kaiser
urology department's brand new Garfield Specialty Center
Some people get better treatment than others at Kaiser's all-digital Garfield Specialty Center
|
Kaiser refused to release digital X-ray videos, and created three
different hoaxes, each time claiming that the new set of X-ray
images contained all the images created during the June 15, 2011
VUCG procedure. Click HERE to see the third and final hoax; it is
Lynette Seid's (CFO and Head of Medical Records) masterpiece.
Lynette Seid CFO
Lynette Seid personally prepared hoax set of 13 VUCG images--really only 7 different images
|
#1
34/72
9:53:45 a.m.
SAME AS #4
Why did Kaiser
produce two copies
of this X-ray labeled
with different
numbers?
#2
36/72
9:53:53 a.m.
SAME AS #3
Why did Kaiser produce two copies
of this X-ray labeled with different
numbers?
#3
36/72
9:53:53 a.m.
This is same
as #2
#4
34/72
9:53:45
This is same as
#1—but with
"SCOUT" label
added.
#11 28/56
10:08:36
SAME AS #10 AND #13
Images must have been picked
from THREE different sets that
were printed out!
#12 29/50
10:05:31
SAME AS #8 WITH “VOIDING”
LABEL ADDED
#13
28/56
10:08:36
"POST-VOID"
SAME AS #10 AND #11
AND DAWN ROBERTSON'S SET #13
Lynette Seid CFO
Kaiser Permanente San Diego Area
Chief Financial Officer and chief
administrator in charge of medical
records
I asked for my VUCG results to take to an
out-of-plan doctor, and in response, Lynette
Seid created a set of X-ray images.
It pretends to be a set of 13 images,
but it actually consists of
only 7 distinct images.
Four of the images appear twice, labeled with different
numbers, but with the exact same time stamp:
#1 is identical to #4;
#2 is identical to #3,
#7 is identical to #9, and
#8 is identical #12.
One image appears three times!
(#10, #11 and #13 are identical).
Some of the copies have labels added (“scout,” “voiding,” and “post-void”), but
the time stamped on each image identifies it precisely.
Image #6 is of particular interest; it is the one new image that Kaiser was willing
to produce for an out-of-plan doctor.
Making the whole episode even stranger is the fact that Lynette Seid
says these are not the original digital images, but rather images that were
printed out and then scanned!
One benefit for Kaiser of that little trick is that it becomes hard to read the time
stamps on the images. I got the time stamps off a set of the paper printouts.
Lynette Seid altered
VUCG images; see
transcript below
#9 31/47
10:05:25
SAME AS #7 BUT WITH
“VOIDING” LABEL ADDED
#10 28/56 10:08:36
SAME AS #11 AND #13
Three (3!) copies of this
X-ray were labeled with
diffferent numbers!
How many times has Kaiser
committed silly fraud like this?
#5
36/62
10:00:35
SAME AS SMILEY #5
#6
34/46
10:04:35
NEW image!!!! Thank you,
Kaiser!
#7
31/47
10:05:25
SAME AS #9
#8
29/50
10:05:31
SAME AS #12
Images must have been picked from TWO different sets
that were printed out in order to have two different labels
yet Kaiser denies that any digital records were saved.
How can Kaiser print out different sets if they don't have
images saved digitally? In fact, it turns out that at least
three different sets were printed out. See #10 below for proof.
Executive Medical Director Paul Bernstein
asked for a review of the above problems, but
the review was canceled a week later.
Perhaps Dr. Bernstein thought it was better for
him not to know what was actually going on
at Garfield Specialty Center. If he actually
knew what was going on, it might be harder for
him to make statements like this one: "Our
Central Hospital in Kearny Mesa will be more
advanced and innovative than any hospital in
San Diego." It seems to have developed
advanced and innovative means of falsifying
records.