To go back to OAH
Hearing page 4
April 4 2001 letter
from Richard Werlin
The following documents
accompanied the above
fax, and let CVESD know
that it had made a terrible
mistake by allowing
Kathleen Elton's false
allegations dictate its
personnel actions.

Rather than apologize to
Maura Larkins, attorney
Mark Bresee, Rick
Werlin, Linda Watson,
Gina Boyd and others
tried to cover up their
wrongdoing by
engineering new false
allegations.
One day after receiving the five pages below, CVESD asked Maura Larkins to come
back to work.  Werlin also began to create a false paper trail to cover up what had
happened, and to lay the groundwork for more false allegations against Larkins.
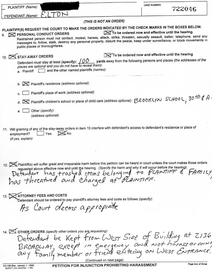
Restraining Order Against Kathleen Elton: "Kathleen Elton suffers from an
untreated mental condition..."
This sworn statement
by a tenant at the
apartments of which
Maura Larkins was
co-administrator with her
brother accurately
describes Kathleen Elton.  

Again and again,
Kathleen Elton, an
actress, was able to get
police to arrest innocent
people.  

She caused Maura Larkins
to be arrested for
trespassing in the
apartment of Larkins' own
father after Larkins
allowed the homeless and
substance-abusing Elton to
share the apartment with
her.  Larkins used the
apartment when she was
working on the apartments
and the estate, paying bills,
and collecting rent.
The "defendant" in these
documents is Kathleen
Elton.  The order was
sought by a tenant in the
apartments owned by
Maura Larkins' father.

What is the relationship
between Kathleen Elton
and Robin Colls Donlan,
Richard Werlin, Cheryl
Cox, Linda Watson, Gina
Boyd, Jim Groth, Tim
O'Neill, Beverly Tucker and
Michael Carlson?   

Robin Donlan and Michael
Carlson illegally obtained,
and the rest of these
individuals then joined
them in using Elton's false
allegations against Maura
Larkins to cause Maura
Larkins to lose her position
of employment.  These
individuals thus violated
Labor Code section 432.7.
Kathleen Elton was the
person used by
CVESD and
Castle Park teachers as a
reliable source of
information on which to
support anonymous
complaints about a teacher.  
Elton was a disturbed
woman with a long history of
calling the police and making
false allegations, usually
from the same address on
Broadway in San Diego. In
Elton's successful
application for rental
assistance, she misstated
the facts about both her
payment of rent and who
was living with her.  
Chula Vista Elementary School District
Kathleen Elton
acquired control of
CVESD's personnel
decisions in 2001
What happened when teacher Maura Larkins figured out that Kathleen Elton's
false accusations to were behind the district's actions?

Larkins was asked to come back to work--but that wasn't the end of the story.
April 3, 2001 Fax to Richard Werlin and
4-page restraining order against Kathleen Elton
Link:
What happened the day
after this fax was sent?
Assistant Superintendent Richard Werlin used the statements of a deeply troubled
woman--Kathleen Elton--to dictate personnel decisions at CVESD.

The school board (including current
Chula Vista mayor Cheryl Cox) spent
$100,000s to cover up Werlin's criminal actions.
Apr 3 01  to Werlin
Apr 4 01  from Werlin
San Diego
Education Report